Ana Sayfa | İletişim
info@inebolu.bel.tr info@inebolu.bel.tr +90 (366) 811 45 00 +90 (366) 811 45 00
?stiklal Madalyal? Tek ?l?e T.C. İnebolu Belediyesi | www.inebolu.bel.tr
Güncel
» Haberler
» Duyurular
» Etkinlikler
Haberler //
3 Temmuz 2015 Cuma Yazıyı Küçült Yazıyı Büyült
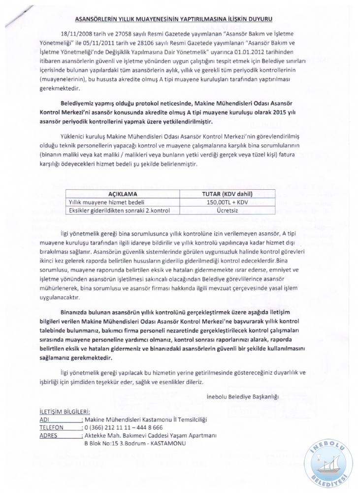
Asansörlerin Yıllık Muayenesinin Yaptırılmasına İlişkin Duyuru
Asansörlerin Yıllık Muayenesinin Yaptırılmasına İlişkin Duyuru

18/11/2008 tarih ve 27058 sayılı Resmi Gazetede yayımlanan “Asansör Bakım ve İşletme Yönetmeliği” ile 05/11/2011 tarih ve 28106 sayılı Resmi Gazete yayımlanan “Asansör Bakım ve İşletme Yönetmeliği’nde Değişiklik Yapılmasına Dair Yönetmelik” uyarınca 01.01.2012 tarihinden itibaren asansörlerin güvenli ve işletme yönünden uygun çalıştığını tespit etmek için Belediye sınırları içeresinde bulunan yapılardaki tüm asansörlerin aylık, yıllık ve gerekli tüm periyodik kontrollerinin (muayenelerinin), bu hususta akredite olmuş A tipi muayene kuruluşları tarafından yaptırılması gerekmektedir.

Asansörlerin yıllık bakım ve onarımlarının yapılabilmesi için tüm asansörlü bina yöneticilerinin Protokol imzalamak üzere Belediyemize müracaatları gerekmektedir.

 

Asansörlerin Yıllık Muayenesinin Yaptırılmasına İlişkin Duyuru
Diğer Haberler
BAŞKANIMIZDAN, İNEBOLU  ANADOLU LİSESİ ÖĞRENCİLERİNE ÖDÜL
BAŞKANIMIZDAN, İNEBOLU ANADOLU LİSESİ ÖĞRENCİLERİNE ÖDÜL
25 Mart 2019 Pazartesi
MÜZEMİZ, ZİYARETÇİLERİNİ AĞIRLAMAYA DEVAM EDİYOR
MÜZEMİZ, ZİYARETÇİLERİNİ AĞIRLAMAYA DEVAM EDİYOR
20 Mart 2019 Çarşamba
18 MART ŞEHİTLERİ ANMA GÜNÜ VE ÇANAKKALE ZAFERİNİN 104. YILDÖNÜMÜ TÖRENLERLE KUTLANDI
18 MART ŞEHİTLERİ ANMA GÜNÜ VE ÇANAKKALE ZAFERİNİN 104. YILDÖNÜMÜ TÖRENLERLE KUTLANDI
18 Mart 2019 Pazartesi
BAŞKANIMIZIN ŞEHİTLER GÜNÜ MESAJI
BAŞKANIMIZIN ŞEHİTLER GÜNÜ MESAJI
18 Mart 2019 Pazartesi
15. BAŞKENTTE KASTAMONU GÜNLERİNDE, BELEDİYEMİZ MİSAFİRLERİNİ AĞIRLAMAYA DEVAM EDİYOR
15. BAŞKENTTE KASTAMONU GÜNLERİNDE, BELEDİYEMİZ MİSAFİRLERİNİ AĞIRLAMAYA DEVAM EDİYOR
15 Mart 2019 Cuma
Youtube | T.C. İnebolu Belediyesi Facebook | T.C. İnebolu Belediyesi Twitter | T.C. İnebolu Belediyesi RSS | T.C. İnebolu Belediyesi +90 (366) 811 45 00
» Başkan’dan
» Belediye Tarihi
» Haberler
» Duyurular
» Etkinlikler
» İletişim
» İlçemizi Tanıyalım
» Hizmet Rehberi
» E - Bülten
» Projelerimiz
» Fotoğraf Galerisi
» Video Galerisi
» İnebolu Kent Rehberi
» İnebolu Nöbetçi Eczane
» İnebolu Sinema Rehberi
» İnebolu Kent Müzesi
Beni Yeniliklerden Haberdar Et
Tel: +90 (366) 811 45 00 | E-Posta: info@inebolu.bel.tr
Copyright 2015 © İnebolu Belediyesi Tüm Hakları Saklıdır.